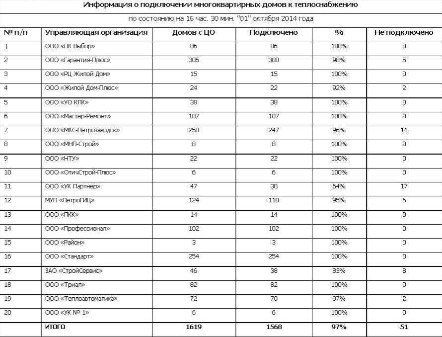
В Петрозаводске к теплу подключено уже 97% домов с центральных отоплением
Администрация города сообщает, что после подключения всего жилфонда регулировка систем отопления может продлиться в течение 7 дней.
Информацию о конкретных сроках подключения конкретных домов горожане могут узнать в своих управляющих компаниях.

Следить за новостями

Ну хоть в Птз тепло местами и то отрадно, а республика как мерзла в прошлые года, так и сейчас замерзает, ничего не изменилось и не изменится, пока одни балаболы у власти, ждите в гости Петрозаводчане замерзающую Карелию
европейцы сказали что этот год будет самый холодный за 20 лет
Прощай Украина..........
Какое нам дело в Петрозаводске до остальной Карелии, пусть сами справляются со своими проблемами.
А у вас что уважаемый, ягоды - грибы собраны, рыба наловлена и лось в морозилке ?
Вы бы больше о себе, а не об Украине думали, они то и без нас проживут.
Вообще то да. И лось в морозилке. Только ряпушку рановато ешшо ловить.
А ведь помнится ,что где-то в июле-августе наши Ломаки,Маленды,Дацуки в СМИ Карелии гордо рапортовали о 100% готовности города к отопительному сезону.
Все так, Уважаемый! В выходные за вторым лосем иду!